نحوه سفارش رفرنس استاندارد EP آزیترومایسین برای شناسایی پیک
برای دریافت مشاوره تخصصی رایگان شامل اطلاعات تکمیلی، دیتاشیت (Data Sheet)، برگه آنالیز (COA)، قیمت بهروز و مستندات فنی مربوط به این رفرنس استاندارد و ثبت سفارش با کارشناسان فروش تماس بگیرید یا از طریق فرم آنلاین اقدام نمایید.
۰۲۱-۶۶۴۰۴۴۵۰
۰۹۱۰۳۸۰۵۲۵۸
[تماس با ما] | [فرم سفارش آنلاین]
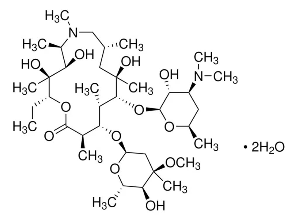
| مشخصات رفرنس استاندارد Azithromycin for peak identification |
||
|---|---|---|
| نام اصلی محصول |
Azithromycin for peak identification |
|
| CAS |
۱۱۷۷۷۲-۷۰-۰
|
|
| شماره کاتالوگ | Y0000637 | |
| پکیج | ۲۰ MG | |
| برند | EDQM (EP) | |
| جرم مولی | ۷۸۵٫۰۲ g/mol | |
| گرید | pharmaceutical primary standard | |
| Synonyms | Azithromycin dihydrate, CP-62993 | |
| دمای نگهداری |
۲-۸°C
|
|
|
فرمول شیمیایی |
C38H72N2O12 · ۲H2O | |
لینکهای مفید


دیدگاهها
هیچ دیدگاهی برای این محصول نوشته نشده است.